Flight Log - 2014-02-01 - Mike Caplinger's j3k

38mm minimum diameter, lightweight construction for maximum speed on 6XL 38mm motors.

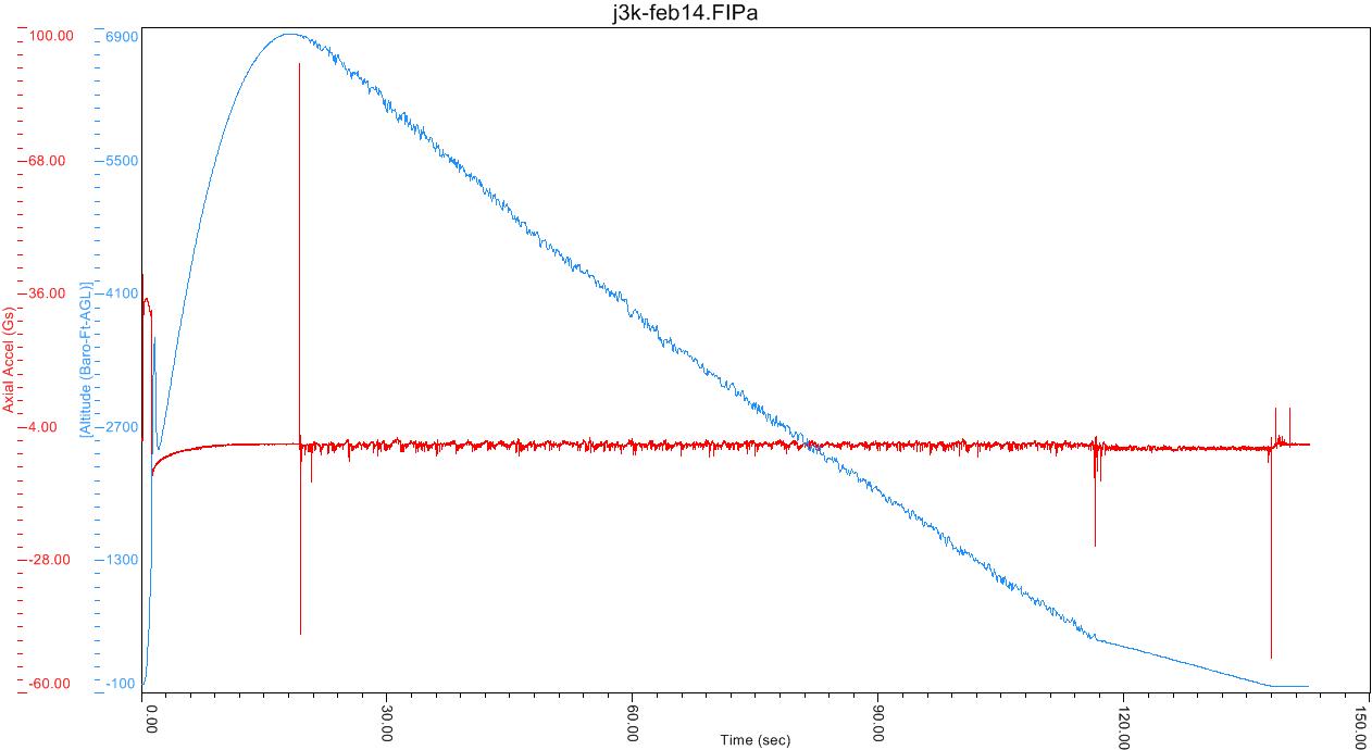
Flight Date: 2014-02-01
Rocket Name: j3k
Flyer's Name: Mike Caplinger
Motors: H225
Launch Site: Plaster City
Actual Altitude: 6,841 Feet

first flight of j3k with laminated basalt BT. Flew off 1/4" rod. Perfect flight with Archetype tether, although I didn't leash the tether and lost it. Landed about 0.7 miles ESE. Max V 1107 fps.

StageMotor(s)
1CTI 273H225-14A

 

comment Post a Comment