Flight Log - 2015-01-17 - Mark H's Black Diamond

Four inch diameter scratch built rocket.  LOC tube laminated with 4 layers of plain weave carbon fiber.  Performance Rocketry 3:1 ogive cone.

Flight Date: 2015-01-17
Rocket Name: Black Diamond
Flyer's Name: Mark H
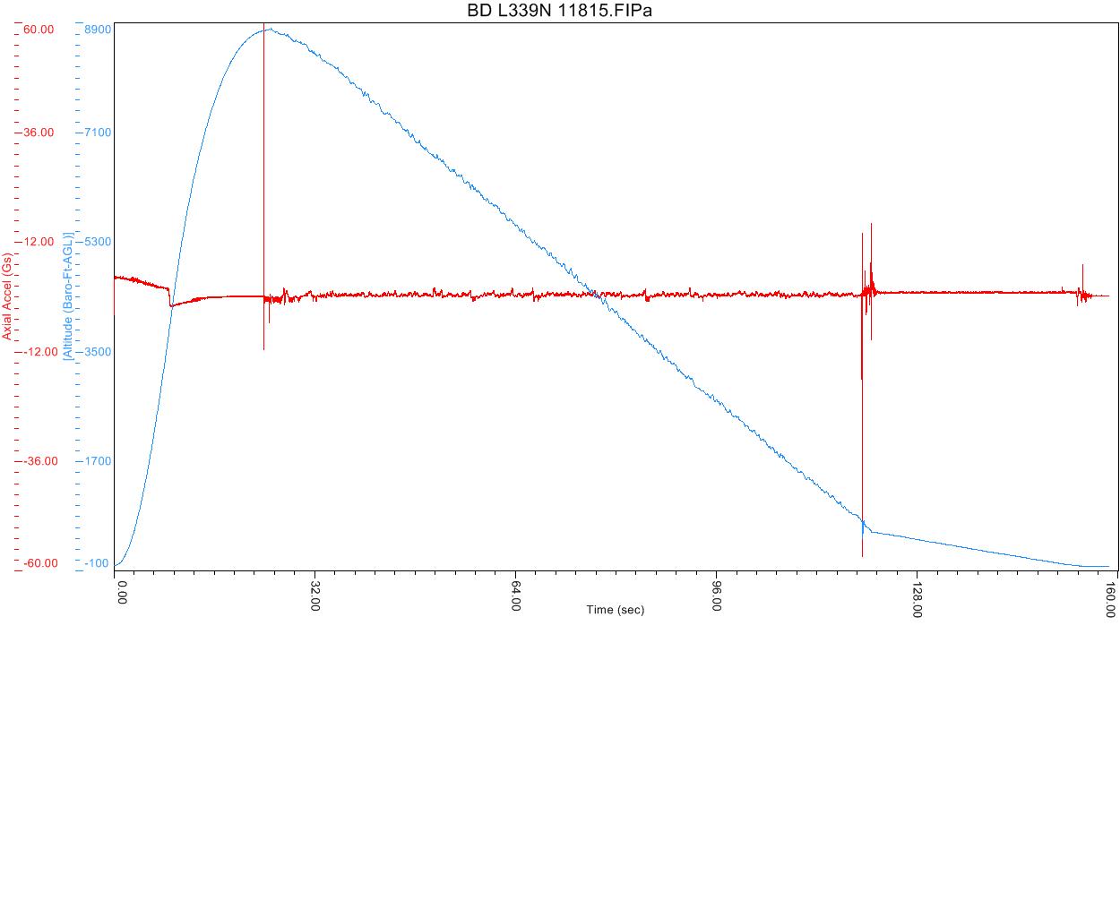
Motors: L339-P
Expected Altitude: 9,500 Feet
Wind Speed: 7.00 mph
Launch Site: MDRA
Actual Altitude: 8,777 Feet

Nothing burns like a Warp 9 endburner. Very cool 9 second burn.   Great flight.  Relatively light winds but rocket  started to arc into the wind at the end of the burn.  Landed about 0.5 mile away.  Burnt motor internals smelled more toxic than any spent motor I've ever smelled.

StageMotor(s)
1Aerotech L339N-P

 

Related Videos

comment Post a Comment