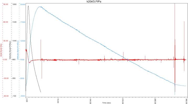
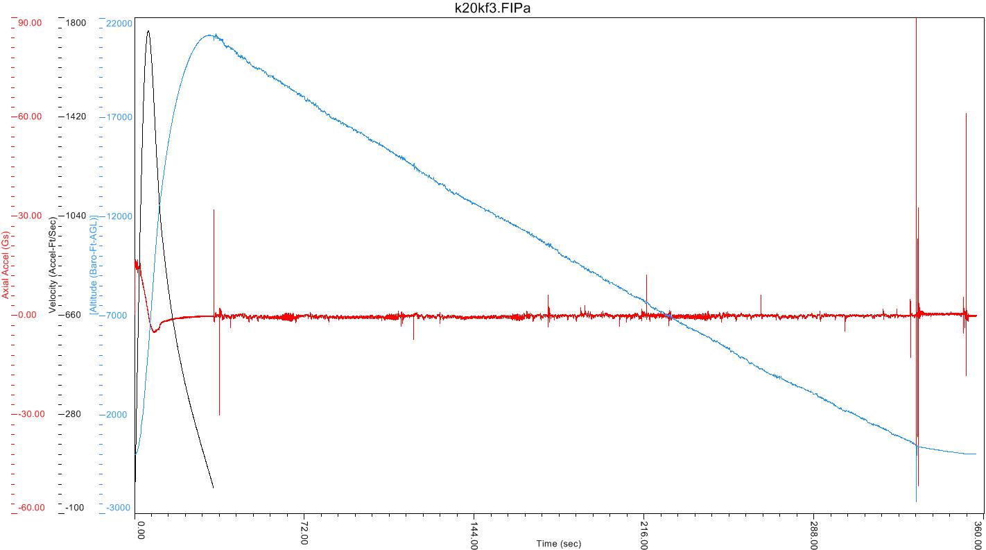
| Flight Date: | 2011-06-04 |
| Rocket Name: | K20K II |
| Flyer's Name: | Mike Caplinger |
| Motors: | K300 |
| Expected Altitude: | 20,800 Feet |
| Wind Speed: | 5.00 mph |
| Launch Site: | Plaster City |
| Actual Altitude: | 21,127 Feet |
President's Challenge 20Kfeet flight. Nice and straight out of the tower, maximum velocity 1767 fps (Mach 1.57) , flight time 357 seconds. Landed about 3 miles north of the launch site. Thanks to Jim and Michael D. for driving me out to recover.
| Stage | Motor(s) |
|---|---|
| 1 | CTI 2546K300-P |
![]() |
![]() |